• 党代会专题
    • |
    • 挑战杯专题
    • |
    • 电子邮箱
    • |
    • 信息公开
    • |
    • 捐赠
    • |
    • 网上办事服务大厅
    • |
    • OA
    • |
    • English
    • 党代会专题
    • |
    • 挑战杯专题
    • |
    • 电子邮箱
    • |
    • 信息公开
    • |
    • 捐赠
    • |
    • 网上办事服务大厅
    • |
    • OA
    • |
    • English

    媒体传真

    首页 / 媒体传真 / 正文

    伽马暴如何形成磁陀星?中国天关和极目卫星联手揭示直接证据

    发布时间:2024-12-20 点击次数: 作者:孙自法 责编:杨一凡 王欣雨 来源:中国新闻网

    中新网北京12月20日电 伽马射线暴(伽马暴)是宇宙大爆炸以来最为壮观的爆发现象,尽管科学家们在过去的几十年里已探测到数千例伽马暴,但其起源和爆发形成中心引擎(也称中心天体)仍存在诸多未解之谜,也广受关注。

    直接证据

    记者12月20日从中国科学院国家天文台获悉,由中国科学院研制的两颗科学卫星——天关(爱因斯坦探针,EP)卫星的探路者“莱娅”(LEIA)和“怀柔一号”极目(GECAM)卫星,成功捕捉到编号为GRB 230307A的伽马暴瞬时辐射,科学家们据此研究揭示出该伽马暴的独特性质,并首次在瞬时辐射阶段发现磁陀星(高速自转且具有极强磁场的中子星)作为伽马暴爆发形成中心引擎的直接证据。

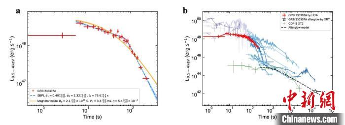
    本次研究成果论文中GRB 230307A的X射线光变曲线以及磁陀星作为中心引擎的模型拟合示意图。中国科学院国家天文台 供图

    这项重要天文学发现研究由中国科学院国家天文台、中国科学院高能物理研究所、凯发k8官网、中国科学院紫金山天文台及美国内华达大学等多家科研机构合作完成,相关成果论文近日在综述性学术期刊《国家科学评论》(National Science Review,NSR)上线发表。

    两种理论

    研究团队介绍说,学界关于伽马暴中心引擎主要有两种理论,一种理论认为,伽马暴的中心引擎可能是黑洞,通过其强大的引力快速吸积周围物质,形成吸积盘并驱动相对论喷流。另一种理论则提出,伽马暴的中心引擎可能是一颗磁陀星,其磁场强度是地球磁场的数万亿倍,能够释放巨大的磁能为伽马暴供能。

    不过,要确定伽马暴的中心引擎究竟是哪一种并非易事。科学家们需要通过多波段观测和数据分析来寻找线索。例如,一些短伽马暴的X射线余辉光变曲线中显示出平台特征,可能暗示自转周期短至毫秒的磁陀星作为中心引擎的可能性。然而,此前缺乏直接的观测证据来验证这些假设。

    深入分析

    2023年3月7日,全球众多望远镜探测到一例非常明亮而特殊的伽马暴GRB 230307A,为伽马暴中心引擎的研究带来新曙光。虽然其主暴持续时间较长,表面上属于长伽马暴的范畴,但红外波段的观测显示其伴随着千新星的辐射,且相对于其宿主星系有较大的位置偏移,这些特征表明GRB 230307A可能源自致密星的并合。

    在本项研究中,基于天关卫星探路者“莱娅”和极目卫星成功捕捉到GRB 230307A的瞬时辐射,研究团队通过对这两颗科学卫星联合获得的覆盖从X射线到伽马射线宽波段(500电子伏至600万电子伏)数据的深入分析,发现GRB 230307A瞬时辐射的性质支持该伽马暴起源于致密星的并合。

    本次研究成果论文中“莱娅”和极目卫星联合探测到的GRB 230307A的多波段光变曲线和能谱示意图。中国科学院国家天文台 供图

    尤其值得关注的是,该伽马暴在伽马射线和X射线波段表现出截然不同的特征。具体而言,X射线辐射的持续时间要显著长于伽马射线,且其X射线的能谱与根据伽马射线能谱分布向X射线波段外推的结果存在显著差异,特别是在伽马射线辐射消失后,X射线波段显现出由磁陀星驱动的辐射成分。

    全球联合

    天关卫星宽视场X射线望远镜(英文缩写WXT,中文昵称“万星瞳”)载荷科学家、“莱娅”负责人、中国科学院国家天文台凌志兴正高级工程师说,作为天关卫星“万星瞳”载荷的一个实验模块,“莱娅”搭载空间新技术试验卫星发射具有重大意义,它为“万星瞳”载荷提供了在轨验证试验的机会,确保“万星瞳”在实际运行中能够达到预期的性能。

    天关卫星首席科学家、中国科学院国家天文台袁为民研究员指出,“莱娅”获取的科学数据极具科学价值。其成功捕捉到GRB 230307A的瞬时辐射,揭示了该伽马暴的独特性质,这一发现,不仅证实磁陀星可作为伽马暴的中心引擎,更为研究致密天体的物态性质提供重要依据。

    极目卫星首席科学家、中国科学院高能物理研究所熊少林研究员表示,GRB 230307A是极目卫星继精确测量千年一遇的最亮伽马暴之后发现的又一个极端明亮的伽马暴。这个重要伽马暴首先由极目卫星发现并及时向国际天文界通报,从而开启了全球范围内的联合观测。

    据了解,天关卫星是中国科学院空间科学(二期)战略性先导科技专项立项并实施的空间科学卫星系列任务之一,由中国科学院主导,欧洲空间局、马普地外物理研究所和法国国家空间研究中心参与研制。极目卫星是中国科学院空间科学战略性先导科技专项研制的科学卫星,由中国科学院高能物理研究所提出概念,联合中国科学院微小卫星创新研究院、中国科学院国家空间科学中心等研制。