纯自旋流研究是当今自旋电子学中的一个重要研究热点。纯自旋流指的是自旋向上和自旋向下的电子朝相反的方向进行运动,或者电子不动,但自旋以波的形式向前传播所产生的自旋输运过程。由于在传输过程中不产生净电荷流和杂散磁场,自旋流能够以非常小的功耗传输信息,是新一代信息传输的重要载体。纯自旋流研究包括纯自旋流的产生、输运和检测。其中,自旋流的产生与检测均涉及到自旋流和电荷流之间的相互转换。理解自旋流和电荷流之间的相互转换,对于探索基于纯自旋流的新型低功耗器件应用、提高其效率及新型器件其与当前基于电荷流的技术的集成而言均是至关重要的。自旋霍尔角(θSH)和自旋扩散长度(λSD)是表征自旋流-电荷流转换的两个重要参数。因其重要性,近年来科学家们花了很大的努力去量化这些参数,其中不乏在PRL、Nature Physics上发表的重要文章。但是即使在同一种材料上,甚至采用同一种技术手段,不同的研究组给出的结果也不一致(如图1所示),在国际上产生了很大的争议。对这些参数的表征已成为国际公认的自旋电子学难题之一。

图1:文献当中报道的Pt(A)和Pd(B)的自旋霍尔角和自旋扩散长度分布。

图2:A:自旋泵浦效应实验构型。B:自旋流传输过程中的截面图。
物理学院丁海峰教授课题组、吴镝教授课题组与美国亚利桑那大学张署丰教授课题组、北师大袁喆教授课题组通力合作,提出了一种自洽的对自旋霍尔角和自旋扩散长度的表征方法。实验中采用表征材料自旋霍尔角和自旋扩散长度的常用手段自旋泵浦效应测量(图2A)。通过对称性分析,选用特殊的实验构型,该研究组将潜在的热信号、自旋整流效应等杂散信号等仔细一一排除,从而获得干净的纯自旋流转化的电荷流信号。研究组还通过微波光电阻测量信号的测量直接将每个样品的与自旋流强度直接相关的进动角表征出来,从而直接获得自旋流的强度。实验结果还发现泵浦的自旋电流在同过铁磁材料与非磁材料界面时将发生一定的损耗即界面自旋损耗(图2B),界面自旋损耗的大小因不同的界面而异。结合理论分析,研究组发现界面自旋损耗可以通过自旋流所转化成的电荷流及有效自旋混合电导二者随厚度的不同演化关系定量地表征出来,进而自洽地获得自旋霍尔角和自旋扩散长度。该实验选用最常用的且争议最大的两种强自旋轨道耦合材料Pt和Pd开展研究,通过这两种金属与不同铁磁材料Co、CoFe和Py(坡塻合金)的组合,得到的Pt和Pd中自旋霍尔角和自旋扩散长度与所选用的与铁磁层材料无关(图3与图4),从而验证了的该方法的正确性与普适性。实验中还发现虽然Pd的自旋霍尔角比Pt小很多,但其与Co和Py等材料结合时界面自旋流传输损耗几乎为0,从而解释了前人实验中得到Pd能够给出和Pt相似的自旋轨道矩实验结果。这也为自旋电子学器件设计提供了新的启示,以往人们的重点大都放在找寻大自旋霍尔角的材料,但其实通过界面调控也可以有效地提高器件的效率,并且其调控空间广阔。该项研究成果发表在Sci. Adv. 4, eaat1670 (2018)上,物理学院丁海峰教授课题组的博士生陶新德、刘奇和缪冰锋副教授是该文共同第一作者,丁海峰教授和吴镝教授是共同通讯作者。该工作得到了国家重点研发计划、国家自然科学基金和江苏省自然科学基金的资助。

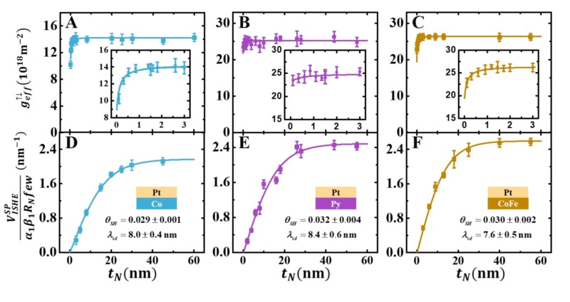
图3:A-C分别为Co(20 nm)/Pt(t),Py(20 nm)/Pt(t), 和CoFe(13 nm)/Pt(t)样品中Pt厚度依赖的有效自旋混合电导。D-F为相应样品的归一化自旋泵浦电压信号随厚度的演化。通过二者的拟合可以获得自旋霍尔角和自旋扩散长度,研究表面在三种不同的体系中获得的Pt自旋霍尔角和自旋扩散长度在误差范围内完全一致,与铁磁材料的选取无关。

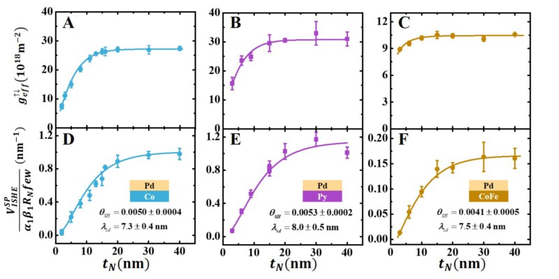
图4:A-C分别为Co(16 nm)/Pd(t),Py(16 nm)/Pd(t), 和CoFe(16 nm)/Pd(t)样品中Pd厚度依赖的有效自旋混合电导。D-F为相应样品的归一化自旋泵浦电压信号随厚度的演化。通过二者的拟合可以获得自旋霍尔角和自旋扩散长度,研究表面在三种不同的体系中获得的Pd自旋霍尔角和自旋扩散长度在误差范围内完全一致,与铁磁材料的选取无关。
(物理学院 科学技术处)