“一只乌鸦口渴了,他在低空盘旋着找水喝。找了很久,他才发现不远处有一个水瓶,便高兴地飞了过去,稳稳地停在水瓶口,准备痛快地喝水了。可是,水瓶里水太少了,瓶口又小,瓶颈又长,乌鸦的嘴无论如何也够不着水。于是乌鸦从不远处叼来一块石子,朝着水瓶砸下去。石子沉入瓶底,里面的水好像比原来高了一些。随着石子的增多,水瓶里的水也慢慢向上升,终于水瓶里的水快升到瓶口了,而乌鸦总算可以喝到水了。” 这几乎是所有人都耳熟能详的伊索寓言故事。
近日,生命科学学院动物行为与保护实验室利用灰喜鹊进行动物认知研究,他们发现灰喜鹊不仅能够再现伊索寓言中《乌鸦喝水》的故事,而且能够完成更高级的挑战。该项研究为国内动物认知研究提供了更多的经验。
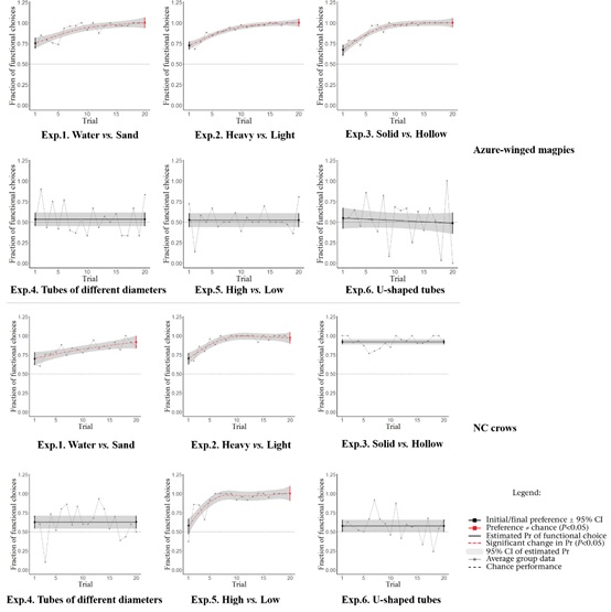
在这项关于灰喜鹊的认知研究中,他们使用了一系列最初用来测试一些动物是否理解与水置换相关的因果关系的实验探索了灰喜鹊的认知能力,这些实验都以水置换为基本条件并分为含因果线索的水质和沙质管子的辨别、实心物体和空心物体的辨别、下沉物体和漂浮物体的辨别、同一水位下不同直径管子的辨别、同一直径不同水位管子的辨别的实验和非因果线索的U型管子的辨别的实验(图1)。

图1 实验装置示意图
因果线索任务的实验结果表明,灰喜鹊在面对《乌鸦喝水》的情景时能够辨别水质和沙质、重物和轻物、实心物体和空心物体。从认知心理学的角度看,灰喜鹊在该实验中表现出了训练迁移和类比问题解决的能力,这些能力在我们日常的学习生活中也极其重要。结合该课题组以往的实验(拉绳取物试验:Wang, L. et al. 2019. Azure-winged magpies solve string-pulling tasks by partial understanding of the physical cognition, Current Zoology;镜面自我认知试验:Wang, L. et al. 2020. Azure-winged magpies fail to understand the principle of mirror imaging, Behavioural Processes;客体永久性试验:Wang et al. 2021. Azure-winged magpies passed the tasks on Uzgiris-Hunt scale of object permanence. Journal of Ornithology),我们可以肯定的认为灰喜鹊有较高的认知能力,某些方面甚至可以与鸦科鸟类中公认的天才物种新喀鸦(Corvus moneduloides)相媲美(图2)。

图2 实验结果
该项研究以“Performance of Azure-winged magpies in Aesop’s fable paradigm”为题于2021年1月12日在Scientific Report上在线发表。凯发k8官网生命科学学院动物行为与保护实验室硕士生张宜贵为论文第一作者,李忠秋为论文通讯作者,该工作受到国家自然科学基金(31772470)的资助。
同时,这个有趣的实验也得到央视关注并专程录制灰喜鹊的《乌鸦喝水》节目,该节目已经于2020年10月25日在央视一套《正大综艺·动物来啦》播出(图3、4),并得到广泛关注和好评。
灰喜鹊“乌鸦喝水”故事:科学实验版(https://www.nature.com/articles/s41598-020-80452-5)、央视节目版(https://weibo.com/6404576617/JtgJNDjW0?sudaref=www.baidu.com&type=comment)。

图3

图4